土地残余法の問題点
1. 土地残余法
土地残余法とは、土地についての収益還元法のことをいいます。土地残余法には、①国土交通省が行っている地価公示方式の土地残余法と、②土地建物一体の収益価格から建物等の建築費用額を控除する土地残余法の2種類があります。地価公示方式の土地残余法とは、土地建物一体としての年間純収益を土地帰属年間純収益と建物帰属年間純収益に切り分けて、土地帰属年間純収益のみを還元利回りで資本還元して土地の収益価格を求める手法です。
不動産鑑定評価基準は、「更地の鑑定評価額は、更地並びに自用の建物及びその敷地の取引事例に基づく比準価格並びに土地残余法(建物等の価格を収益還元法以外の手法によって求めることができる場合に、敷地と建物等からなる不動産について敷地に帰属する純収益から敷地の収益価格を求める方法 )による収益価格を関連づけて決定するものとする。」と規定しており、不動産鑑定評価においては地価公示方式の土地残余法を使用することを指定しています。
地価公示方式の土地残余法は、平成6年9月2日に旧国土庁土地鑑定委員会収益還元法検討小委員会において決定され、同年9月9日に土地鑑定委員会において承認された土地についての収益還元法をいいます。しかしながら、地価公示方式は、
a. 割引率である基本利率Yは一定という仮定を置くこと
b. 土地建物に帰属する純収益が毎年一定率gで逓増又は逓減するという強い仮定を置くため現実の賃料変動と整合的でないこと
c. 土地建物一体の年間純収益を元利逓増償還率により土地帰属年間純収益と建物帰属年間純収益に強制的に分離すること
d. これらを補正するために還元利回り(Y-g)を直接的に調整しなければならないこと
などの欠点があります。
土地残余法とは、土地についての収益還元法のことをいいます。土地残余法には、①国土交通省が行っている地価公示方式の土地残余法と、②土地建物一体の収益価格から建物等の建築費用額を控除する土地残余法の2種類があります。地価公示方式の土地残余法とは、土地建物一体としての年間純収益を土地帰属年間純収益と建物帰属年間純収益に切り分けて、土地帰属年間純収益のみを還元利回りで資本還元して土地の収益価格を求める手法です。
不動産鑑定評価基準は、「更地の鑑定評価額は、更地並びに自用の建物及びその敷地の取引事例に基づく比準価格並びに土地残余法(建物等の価格を収益還元法以外の手法によって求めることができる場合に、敷地と建物等からなる不動産について敷地に帰属する純収益から敷地の収益価格を求める方法 )による収益価格を関連づけて決定するものとする。」と規定しており、不動産鑑定評価においては地価公示方式の土地残余法を使用することを指定しています。
地価公示方式の土地残余法は、平成6年9月2日に旧国土庁土地鑑定委員会収益還元法検討小委員会において決定され、同年9月9日に土地鑑定委員会において承認された土地についての収益還元法をいいます。しかしながら、地価公示方式は、
a. 割引率である基本利率Yは一定という仮定を置くこと
b. 土地建物に帰属する純収益が毎年一定率gで逓増又は逓減するという強い仮定を置くため現実の賃料変動と整合的でないこと
c. 土地建物一体の年間純収益を元利逓増償還率により土地帰属年間純収益と建物帰属年間純収益に強制的に分離すること
d. これらを補正するために還元利回り(Y-g)を直接的に調整しなければならないこと
などの欠点があります。
2. 地価公示方式の土地残余法
不動産鑑定評価基準運用上の留意事項は、次のように規定しています。
もう少し詳しく地価公示方式の土地残余法を数式で表現すると、次のようになります。

わかりにくいのは、建物帰属年間純収益の{ }内と、未収入期間補正率α、還元利回り(Y-g)でしょうか。
不動産鑑定評価基準運用上の留意事項は、次のように規定しています。
| 土地残余法を適用して土地の収益価格を求める場合は、基本的に次の式により表される。 |
![]() |
もう少し詳しく地価公示方式の土地残余法を数式で表現すると、次のようになります。

わかりにくいのは、建物帰属年間純収益の{ }内と、未収入期間補正率α、還元利回り(Y-g)でしょうか。
(1) 建物帰属年間純収益
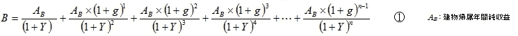
不動産に投資する者は投資総額に対して適正なリターンを要求するものですから、耐用年数内の建物帰属純収益の現在価値の総和は建物の初期投資額に等しいと考えることができます。土地・建物一体としての不動産の純収益は毎年一定率gで逓増または逓減すると仮定し、この純収益のうち一定割合が建物に帰属する純収益であると仮定すると、次の式を導くことができます。

左辺が建物等の初期投資額、右辺が建物帰属年間純収益の割引現在価値です。上式の両辺に
を乗じると

①-②より、

これを整理して、

右辺のB×を除く部分が元利逓増償還率です。建物等の躯体や設備の価格割合により元利逓増償還率を加重平均して計算します。
不動産に投資する者は投資総額に対して適正なリターンを要求するものですから、耐用年数内の建物帰属純収益の現在価値の総和は建物の初期投資額に等しいと考えることができます。土地・建物一体としての不動産の純収益は毎年一定率gで逓増または逓減すると仮定し、この純収益のうち一定割合が建物に帰属する純収益であると仮定すると、次の式を導くことができます。

左辺が建物等の初期投資額、右辺が建物帰属年間純収益の割引現在価値です。上式の両辺に
を乗じると
①-②より、

これを整理して、

右辺のB×を除く部分が元利逓増償還率です。建物等の躯体や設備の価格割合により元利逓増償還率を加重平均して計算します。
(2) 未収入期間補正率
土地・建物一体年間純収益から建物帰属年間純収益を控除すると土地帰属年間純収益が得られますが、価格時点から建物が完成に至るまでの期間は収益を獲得することができませんので、これを補正する必要があります。この補正率が未収入期間補正率です。
土地帰属年間純収益が毎年一定率gで逓増(逓減)するという仮定を前提とすると、価格時点における土地帰属年間純収益がALの場合、建物が完成し収益獲得が可能となるm年後の土地帰属年間純収益はAL×(1+g)mとなります。



abcdの現在価値をa'b'coの現在価値に変換するのですから、右辺どうしをイコールとおいて整理すると、

上式の右辺のAL×を除いた部分が未収入期間補正率αです。
土地・建物一体年間純収益から建物帰属年間純収益を控除すると土地帰属年間純収益が得られますが、価格時点から建物が完成に至るまでの期間は収益を獲得することができませんので、これを補正する必要があります。この補正率が未収入期間補正率です。
土地帰属年間純収益が毎年一定率gで逓増(逓減)するという仮定を前提とすると、価格時点における土地帰属年間純収益がALの場合、建物が完成し収益獲得が可能となるm年後の土地帰属年間純収益はAL×(1+g)mとなります。



abcdの現在価値をa'b'coの現在価値に変換するのですから、右辺どうしをイコールとおいて整理すると、

上式の右辺のAL×を除いた部分が未収入期間補正率αです。
(3) 還元利回り
未収入期間補正を行った初年度の土地帰属年間純収益はA'Lです。年間の賃料変動率(土地帰属年間純収益の変動率)をg、割引率をYとすると、将来純収益の割引現在価値(収益価格)Sは、

両辺に
を乗じると

③-④より

賃料変動率g は、長期的な日本の名目経済成長率程度と考えると多めに見ても1.1%程度でしょうか。基本利率Yは割引率であり、資金調達コスト率を意味しますから、仮に住宅ローンの固定金利20年型と考えると3.7~4.8%(2012.9.19時点)となります。したがって、賃料変動率g < 基本利率(割引率)Y より、nを無限大にすると上式の( )内はゼロとなり、

地価公示方式の土地残余法では、未収入期間補正後の土地帰属純収益に対する還元利回りはY-gとして把握されますが、これは土地帰属純収益及び建物帰属純収益が単純に一定率gで逓増又は逓減するという前提や、基本利率(割引率)Yが一定という前提の上で成り立つものであり、リーマンショックや欧州金融危機など現実の経済変動にさらされる不動産収益の動きとは乖離し、多くの不動産鑑定士が違和感を覚え困惑するところです。
また、旧国土庁土地鑑定委員会の「収益還元法(新手法について)」という文書においては、「投資利回り(基本利率)は、資金調達コスト率(基礎的利率)に利潤率を加算したものとして構成される」としています。しかしながら、資金調達コスト率や利潤率には如何なる数値を用いるべきか明らかにされていません。また、基本利率は割引率であり、投資利回りという表現では混乱と誤解を招くと考えられます。
未収入期間補正を行った初年度の土地帰属年間純収益はA'Lです。年間の賃料変動率(土地帰属年間純収益の変動率)をg、割引率をYとすると、将来純収益の割引現在価値(収益価格)Sは、

両辺に
を乗じると
③-④より

賃料変動率g は、長期的な日本の名目経済成長率程度と考えると多めに見ても1.1%程度でしょうか。基本利率Yは割引率であり、資金調達コスト率を意味しますから、仮に住宅ローンの固定金利20年型と考えると3.7~4.8%(2012.9.19時点)となります。したがって、賃料変動率g < 基本利率(割引率)Y より、nを無限大にすると上式の( )内はゼロとなり、

地価公示方式の土地残余法では、未収入期間補正後の土地帰属純収益に対する還元利回りはY-gとして把握されますが、これは土地帰属純収益及び建物帰属純収益が単純に一定率gで逓増又は逓減するという前提や、基本利率(割引率)Yが一定という前提の上で成り立つものであり、リーマンショックや欧州金融危機など現実の経済変動にさらされる不動産収益の動きとは乖離し、多くの不動産鑑定士が違和感を覚え困惑するところです。
また、旧国土庁土地鑑定委員会の「収益還元法(新手法について)」という文書においては、「投資利回り(基本利率)は、資金調達コスト率(基礎的利率)に利潤率を加算したものとして構成される」としています。しかしながら、資金調達コスト率や利潤率には如何なる数値を用いるべきか明らかにされていません。また、基本利率は割引率であり、投資利回りという表現では混乱と誤解を招くと考えられます。
3. 仮定の検証
既に記載していますが、地価公示方式の土地残余法にはいくつかの「仮定」を置いています。途中の計算式が正しくてもその仮定が現実から乖離しているのであれば、計算結果にも影響が出ます。したがって、その「仮定」を十分検証する必要があるのです。
既に記載していますが、地価公示方式の土地残余法にはいくつかの「仮定」を置いています。途中の計算式が正しくてもその仮定が現実から乖離しているのであれば、計算結果にも影響が出ます。したがって、その「仮定」を十分検証する必要があるのです。
(1) 割引率である基本利率Yは一定という仮定を置くこと
転売益の獲得を目的に行う不動産投資はともかくとして、将来生み出す純収益を獲得することを目的に行う不動産投資は、数ヶ月や1年という短期の期間を前提として行うものではありません。アパートや賃貸マンション、オフィスビル、店舗ビル、ショッピングセンターなどの収益用不動産の投資は、20年や30年の長期投資が前提です。その場合、割引率である「基本利率Yは一定」という仮定は、大きな違和感を生じさせます。割引率は、各期間に獲得する純収益を価格時点に割り引くための率です。3年目に獲得するであろう純収益と10年目に獲得するであろう純収益では金利変動リスクの度合いが異なるため、異なる割引率で割り引く必要があるのです。また、そのとき用いる各年に対応する割引率は、スポットレートかフォワードレートか、名目か実質か、明確に区別する必要があります。このように、「基本利率Yは一定」という仮定は、長期投資を前提とする収益還元法(土地残余法は収益還元法に含まれます)では置いてはならない仮定であると考えられます。
転売益の獲得を目的に行う不動産投資はともかくとして、将来生み出す純収益を獲得することを目的に行う不動産投資は、数ヶ月や1年という短期の期間を前提として行うものではありません。アパートや賃貸マンション、オフィスビル、店舗ビル、ショッピングセンターなどの収益用不動産の投資は、20年や30年の長期投資が前提です。その場合、割引率である「基本利率Yは一定」という仮定は、大きな違和感を生じさせます。割引率は、各期間に獲得する純収益を価格時点に割り引くための率です。3年目に獲得するであろう純収益と10年目に獲得するであろう純収益では金利変動リスクの度合いが異なるため、異なる割引率で割り引く必要があるのです。また、そのとき用いる各年に対応する割引率は、スポットレートかフォワードレートか、名目か実質か、明確に区別する必要があります。このように、「基本利率Yは一定」という仮定は、長期投資を前提とする収益還元法(土地残余法は収益還元法に含まれます)では置いてはならない仮定であると考えられます。
(2) 土地・建物に帰属する純収益が毎年一定率gで逓増又は逓減するという強い仮定を
置くこと
地価公示方式がこの仮定を置くのは、土地建物一体の純収益から土地帰属純収益と建物帰属純収益を切り分けるためです。この仮定を置くために、結果的に調整された基本利率Yを使うことや、現実の賃料変動から乖離する変動率gの設定を強いられることになります。例えば、2008年9月15日にリーマンショックが起き、国内最強と言われるトヨタですら期間従業員の整理を強いられました。その時、多くの不動産鑑定士は苦悩したと考えられます。なぜなら、賃料変動率gをマイナスにすると際限のない日本経済の収縮を意味することになるし、gをゼロにすると現実の経済変動と整合的でなくなるし、ましてやgはプラスではない。苦悩の中で基本利率Yを直接的に調整せざるを得なかったのです。このように、「賃料変動率gは一定率で逓増又は逓減する」という強い仮定も、置いてはならない仮定であると考えられます。
置くこと地価公示方式がこの仮定を置くのは、土地建物一体の純収益から土地帰属純収益と建物帰属純収益を切り分けるためです。この仮定を置くために、結果的に調整された基本利率Yを使うことや、現実の賃料変動から乖離する変動率gの設定を強いられることになります。例えば、2008年9月15日にリーマンショックが起き、国内最強と言われるトヨタですら期間従業員の整理を強いられました。その時、多くの不動産鑑定士は苦悩したと考えられます。なぜなら、賃料変動率gをマイナスにすると際限のない日本経済の収縮を意味することになるし、gをゼロにすると現実の経済変動と整合的でなくなるし、ましてやgはプラスではない。苦悩の中で基本利率Yを直接的に調整せざるを得なかったのです。このように、「賃料変動率gは一定率で逓増又は逓減する」という強い仮定も、置いてはならない仮定であると考えられます。
(3) 土地建物一体としての年間純収益を元利逓増償還率により土地帰属年間純収益と
建物帰属年間純収益に強制的に分離すること
建物帰属年間純収益の説明のところで、「耐用年数内の建物帰属純収益の現在価値の総和は建物の初期投資額に等しい」という仮定をおいて計算式を導いています。そうであるならば、土地建物一体の純収益の現在価値の総和から建物初期投資額を直接控除しても、同じ結論が得られるはずです。その場合、「土地・建物に帰属する純収益が毎年一定率gで逓増又は逓減する」という強い仮定を置く必要もありません。この強い仮定を置かなければ、リーマンショック直後に予想された「これから急激に賃料(家賃)収入が下がり、2~3年間は底を探る動きが続き、その後ゆっくりと回復過程に入る」というような収益想定も可能となるのです。
建物帰属年間純収益に強制的に分離すること建物帰属年間純収益の説明のところで、「耐用年数内の建物帰属純収益の現在価値の総和は建物の初期投資額に等しい」という仮定をおいて計算式を導いています。そうであるならば、土地建物一体の純収益の現在価値の総和から建物初期投資額を直接控除しても、同じ結論が得られるはずです。その場合、「土地・建物に帰属する純収益が毎年一定率gで逓増又は逓減する」という強い仮定を置く必要もありません。この強い仮定を置かなければ、リーマンショック直後に予想された「これから急激に賃料(家賃)収入が下がり、2~3年間は底を探る動きが続き、その後ゆっくりと回復過程に入る」というような収益想定も可能となるのです。
4. まとめ
以上のように、地価公示方式の土地残余法にはいくつかの致命的とも言える欠点があります。地価公示方式の土地残余法は、不動産鑑定評価に土地残余法という手法を定着させたという功績はあったと考えられますが、収益還元法の考え方が深化した今日ではその役目は終えたと言えます。
批判だけでは何も生まれませんので、地価公示方式の土地残余法に替わる手法、即ち「土地建物一体の収益価格から建物等の建築費用額を控除する土地残余法」について、その考え方を徐々に述べていきたいと思います。
以上のように、地価公示方式の土地残余法にはいくつかの致命的とも言える欠点があります。地価公示方式の土地残余法は、不動産鑑定評価に土地残余法という手法を定着させたという功績はあったと考えられますが、収益還元法の考え方が深化した今日ではその役目は終えたと言えます。
批判だけでは何も生まれませんので、地価公示方式の土地残余法に替わる手法、即ち「土地建物一体の収益価格から建物等の建築費用額を控除する土地残余法」について、その考え方を徐々に述べていきたいと思います。


